Learning Objectives
- Outline the formation of non-aromatic carbocation
- Describe the mechanism of electrophilic substitution using nitration of benzene
Part 1 Electrophilic Substitution


Watch the video to find out more
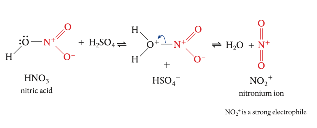
Step 1: Formation of nitronium ion


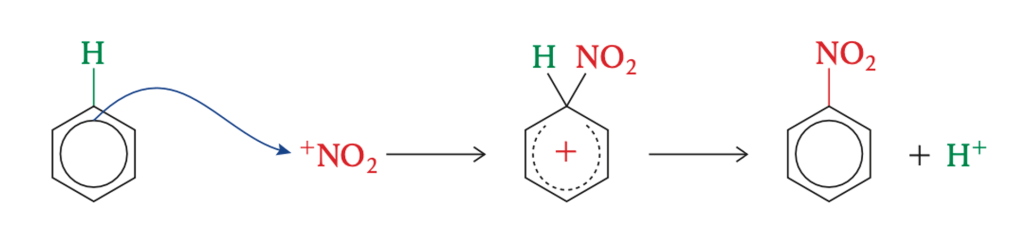
Step 2: Electrophilic substitution






![ESS 8.3.4 [AHL] Photochemical Smogs and Tropospheric Ozone](https://mypytrclass.com/wp-content/uploads/2025/12/image-1.png?w=1024)