Learning Objectives
- Describe and explain the reactions of group 1 metals with water, and of group 17 elements with halide ions.

Group 18: The Noble Gases
To understand element reactivity, it is useful to examine Group 18, which consists of the least reactive elements—the noble gases. Elements in other groups exhibit reactivity due to their unstable, incomplete electron energy levels. They lose or gain electrons in order to attain the stable electron configuration of the nearest noble gas.
Part 1: Chemical Properties of Alkali Metals
Group 1: The Alkali Metals
All Group 1 elements are silvery metals that are highly reactive and therefore not found in nature in their pure form. To prevent reactions with air and water, they are typically stored in oil.
Physical Properties:
- Excellent conductors of electricity and heat.
- Low densities compared to other metals.
- Have shiny grey surfaces when freshly cut.
Chemical Properties:
- Extremely reactive metals.
- Form ionic compounds when combined with non-metals.
Reactivity of Group 1: The Alkali Metals
Group 1 metals form singly charged ions (M⁺) when they react, achieving the stable noble gas electron configuration.
- Low ionisation energies indicate how easily the outer electron is lost.
- Reactivity increases down the group as elements with higher atomic numbers have lower ionisation energies –> metallic character increases down the group
- Their ability to conduct electricity and heat is due to the mobility of their outer electron.
Reaction with Water
Alkali metals react with water to produce hydrogen gas and a metal hydroxide. When a small piece of one of the first three Group 1 elements is placed in distilled water, the following occurs:
- Lithium (Li)
- Floats and reacts slowly, releasing hydrogen but retaining its shape.
- Sodium (Na)
- Reacts vigorously, releasing hydrogen. The heat generated is enough to melt the metal, forming a small ball that moves on the water surface.
- Potassium (K)
- Reacts even more violently, producing enough heat to ignite the hydrogen gas. It burns with a lilac flame and moves rapidly across the water.
These elements are called alkali metals because the resulting solution is alkaline due to the formation of hydroxide ions (OH⁻). For example, potassium reacts with water as follows:

Since potassium hydroxide (KOH) is an ionic compound that dissociates in water, the reaction is more accurately written as:

Part 2: Chemical Properties of Halogens
Group 17: The Halogens
Group 17 elements exist as diatomic molecules (X₂) and exhibit distinct physical and chemical properties.
Physical Properties
- They are coloured elements.
- They show a gradual phase change down the group:
- Fluorine (F₂) and Chlorine (Cl₂) are gases.
- Bromine (Br₂) is a liquid.
- Iodine (I₂) and Astatine (At₂) are solids.

Chemical Properties
- They are highly reactive non-metals.
- Reactivity decreases down the group.
- They form ionic compounds with metals and covalent compounds with non-metals.
- Going down the group, halogens may have reduced non-metallci character
Trend in Reactivity
The reactivity trend in Group 17 is explained by their tendency to gain electrons. This is evident from their highly exothermic electron affinities.
- Halogens have a high effective nuclear charge (+7), strongly attracting electrons from other atoms.
- The gained electron completes a stable octet, making the atom more stable.
- Fluorine, the smallest halogen, has the strongest attraction for electrons, making it the most reactive non-metal.
- As atomic radius increases down the group, the attraction for electrons weakens, leading to decreasing reactivity.
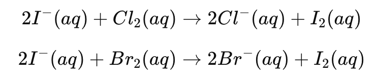
Displacement Reactions
The relative reactivity of halogens can be demonstrated in displacement reactions, where a more reactive halogen displaces a less reactive one from its compound.
For example, when chlorine gas is bubbled through potassium bromide solution, the solution turns orange due to bromine formation:

Other displacement reactions include:

Colour changes can help identify the displaced halogen:
- Iodine (I₂) appears dark orange/brown.
- Bromine (Br₂) appears orange.
- Shaking the solution with a hydrocarbon solvent further distinguishes them:
- Iodine forms a violet solution.
- Bromine forms a dark orange solution.
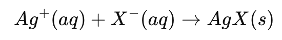
The Halides
Halogens react with silver ions to form insoluble silver halide precipitates, which are useful for identifying halide ions.

Where X⁻ represents a halide ion (Cl⁻, Br⁻, or I⁻).

Silver chloride (AgCl)
Silver bromide (AgBr)
Silver iodide (AgI)
Exercises
Q1. How do the reactivities of alkali metals and halogens vary down the group?
Q2. Which pair of elements reacts most readily?
A) Li + Br₂
B) Li + Cl₂
C) K + Br₂
D) K + Cl₂
Q3. Chlorine is a greenish-yellow gas, bromine is a dark red liquid, and iodine is a dark grey solid. Which property most directly influences these differences in volatility?
A) Halogen-halogen bond energy
B) Number of neutrons in the nucleus of the halogen atom
C) Number of outer electrons in the halogen atom
D) Number of electrons in the halogen molecule
Q4. List two observations you could make during the reaction between sodium and water. Provide a balanced chemical equation for the reaction.
Q5. Explain the trend in reactivity of the alkali metals based on their valence electron configuration.
Q6. Explain the trend in reactivity of the halogens based on their valence electron configuration.






![ESS 8.3.4 [AHL] Photochemical Smogs and Tropospheric Ozone](https://mypytrclass.com/wp-content/uploads/2025/12/image-1.png?w=1024)