Chemistry S3.1.3 Metal and Nonmetal Oxides

Learning Objective

  1. Deduce equations for the reactions with water of the oxides of group 1 and group 2 metals, carbon and sulfur.

Part 1: The Bonding of Period 3 Oxides

The transition from metallic to non-metallic character in period 3 oxides is reflected in their bonding. Metal oxides (Na to Al) form giant ionic structures, while non-metal oxides (phosphorus, sulfur, chlorine) are molecular covalent. Silicon, being a metalloid, forms a giant covalent oxide. The ionic character of a compound depends on the electronegativity difference between its elements. As oxygen has an electronegativity of 3.4, the ionic character of period 3 oxides decreases from left to right, as the electronegativity of the elements approaches this value.

Bond Triangle

Summary of Period 3 Oxides

ElementNaMgAlSiPSCl
FormulaNa₂OMgOAl₂O₃SiO₂P₄O₁₀
and
P₄O₆
SO₃
and
SO₂
Cl₂O₇
and
Cl₂O
State
at
SATP
sssssl and gl and g
Oxidation state+1+2+3+4+5 / +3+6 / +4+7 / +1
Electrical Conductivity in Molten StateHighHighHighVery lowNoneNoneNone
StructureGiant ionicGiant ionicGiant ionicGiant covalentMolecular covalentMolecular covalentMolecular covalent
Solubility in WaterSoluble, forms NaOHSlightly soluble, forms Mg(OH)₂InsolubleInsolubleReacts, forms acids (H₃PO₄, H₃PO₃)Reacts, forms acids (H₂SO₄, H₂SO₃)Reacts, forms acids (HClO₄, HClO)
Acid-Base CharacterStrongly basicBasicAmphotericWeakly acidicAcidicAcidicStrongly acidic

Part 2: Acid-Base Characters of Oxides

Basic Oxides

Sodium oxide and magnesium oxide dissolve in water to form alkaline solutions due to the presence of hydroxide ions:

Sodium oxide and magnesium oxides are basic oxides

A basic oxide reacts with an acid to form a salt and water. The oxide ion, O2-, combines with hydrogen ions to form water:

Some examples of reactions with acids:

Neutralisation of acidic oxides

Acidic Oxides

Non-metallic oxides are acidic and react with water to form acidic solutions.

  • Carbon dioxide dissolves in water to form the weak acid, carbonic acid (H2CO3):
Formation of carbonic acid.
  • Sulfur trioxide reacts with water to produce sulfuric(VI) acid:
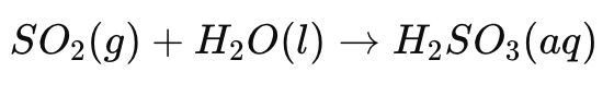
  • Sulfur dioxide reacts with water to produce sulfuric(IV) acid (sulfurous acid):

Sulfur is one of the major impurities in fossil fuels such as crude oil and coal. Therefore, burning these fossil fuels have concerns over the formation of acid rain

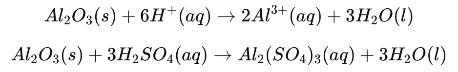
Amphoteric Oxides

Aluminium oxide (Al2O3) is insoluble in water and does not affect pH. However, it has amphoteric properties, meaning it can act as both an acid and a base.

  • As a base, it reacts with sulfuric acid:
  • As an acid, it reacts with sodium hydroxide:

Exercises

Subscribe to get access

Here are the questions with the numbering reset:

Q1. An oxide of a period 3 element is a solid at room temperature and forms a basic solution. Which element is it?
A) Mg
B) Al
C) P
D) S

Q2. Which oxide forms an acidic solution when dissolved in water?
A) Na₂O(s)
B) MgO(s)
C) SiO₂(s)
D) SO₃(g)

Q3. Which of the following oxides produce an acidic solution when added to water?

  1. SiO₂
  2. N₂O₅
  3. SO₂
    A) I and II only
    B) I and III only
    C) II and III only
    D) I, II, and III

Q4. The melting and boiling points of four oxides are listed below:

  • MgO
  • SiO₂ (quartz)
  • P₄O₁₀
  • SO₂
OxideMelting Point (K)Boiling Point (K)
MgO31253873
SiO₂18832503
P₄O₁₀297448
SO₂20263

(a) Identify the state of each oxide under standard conditions.
(b) Explain the difference in melting points, referring to the bonding and structure in each case.
(c) If the oxides are added to separate samples of pure water, state whether the resulting solution is acidic, neutral, or alkaline. Include the chemical equations for the reactions.
(d) Describe the reactions of aluminum oxide with:
(i) hydrochloric acid
(ii) sodium hydroxide

Q5. Describe the acid-base character of the oxides of period 3 elements, from Na to Ar. For sodium oxide and sulfur trioxide, write balanced equations to illustrate their acid-base character.

More from the blog