Learning Objective
- Outline the formation of acid rain and ocean acidification
Part 1: Formation of Acid Rain
Summary: Formation of Acid Rain
Acid rain is caused by non-metal oxides, primarily sulfur oxides (SO₂, SO₃) and nitrogen oxides (NO, NO₂), which dissolve in rainwater to form acidic solutions.
1. Natural Acidity of Rainwater
- Rainwater is naturally acidic (pH ~5.6) due to dissolved carbon dioxide (CO₂) forming weak carbonic acid (H₂CO₃).
- Acid rain has a lower pH due to additional acidic compounds from pollution.
2. Sulfur Oxides and Acid Rain
- Sulfur dioxide (SO₂) forms from combustion:

- Sulfur dioxide dissolves in rainwater, forming sulfurous acid (H₂SO₃):

- Further oxidation in the atmosphere produces sulfur trioxide (SO₃), which forms sulfuric acid (H₂SO₄):

3. Nitrogen Oxides and Acid Rain
- Formation of nitrogen monoxide (NO):

- Formation of nitrogen dioxide (NO₂) directly or via oxidation of NO:

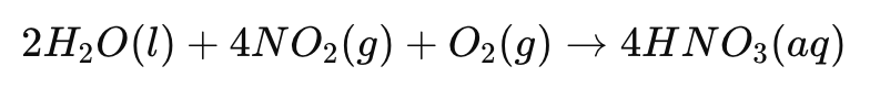
- Nitrogen dioxide dissolves in rainwater, forming a mixture of nitrous acid (HNO₂) and nitric acid (HNO₃):

- Further oxidation leads to more nitric acid (HNO₃):

Summary of Acid Rain by Nitrogen Oxides (NOₓ) and Sulfur Oxides (SOₓ):
| Property | Nitrogen Oxides (NOₓ) | Sulfur Oxides (SOₓ) |
|---|---|---|
| Main Oxides | Nitrogen monoxide (NO) Nitrogen dioxide (NO₂) | Sulfur dioxide (SO₂) Sulfur trioxide (SO₃) |
| Sources | – Internal combustion engines (vehicles, factories) – Lightning – Biomass burning | – Burning of fossil fuels (coal, oil) – Industrial smelting – Volcanic eruptions |
| Acids Formed | Nitrous acid (HNO₂) Nitric acid (HNO₃) | Sulfurous acid (H₂SO₃) Sulfuric acid (H₂SO₄) |
| Environmental Impact | – Forms acid rain (HNO₃) – Causes respiratory problems – Contributes to smog formation | – Forms acid rain (H₂SO₄) – Damages ecosystems and buildings – Reduces air quality |
| Control Measures | – Catalytic converters in vehicles – Reducing fuel combustion – Using alternative energy sources | – Flue gas desulfurization (scrubbers) – Low-sulfur fuels – Alternative energy sources |
Part 2: Ocean Acidification
Ocean acidification occurs when carbon dioxide (CO₂) dissolves in seawater, forming carbonic acid (H₂CO₃):

Carbonic acid further dissociates into hydrogencarbonate (HCO₃⁻) and carbonate (CO₃²⁻) ions, releasing hydrogen ions (H⁺) that increase ocean acidity:

This acidification primarily affects surface waters, where CO₂ absorption occurs. It inhibits shell growth in marine organisms and may contribute to reproductive issues in fish.
Exercises
Subscribe to get access
Q1. Acid rain has a pH of less than 5.6.
(a) Explain why natural rain has a pH around 5.6, and provide a chemical equation to support your answer.
(b) Acid rain can be up to 50 times more acidic than natural rain. One of the major acids found in acid rain mainly comes from burning coal. Name the acid and provide equations to show how it is formed.
(c) The second major acid responsible for acid rain primarily comes from internal combustion engines. Name the acid and suggest two methods to reduce its production.






![ESS 8.3.4 [AHL] Photochemical Smogs and Tropospheric Ozone](https://mypytrclass.com/wp-content/uploads/2025/12/image-1.png?w=1024)