Learning Objectives
- Deduce the oxidation states of an atom an ion or a compound.
- Explain why the oxidation state of an element is zero.
Part 1: Oxidation States of Elements, Ions and Compounds
| Rule | Description | Example |
|---|---|---|
| 1 | Atoms in their free (uncombined) elemental state have an oxidation state of zero. | The oxidation states of Mg, O₂, N₂, and Ar are all 0. |
| 2 | In simple ions, the oxidation state is the same as the charge on the ion. | The oxidation state of Mg in Mg²⁺ is +2, oxygen in O²⁻ is −2, and nitrogen in N³⁻ is −3. |
| 3 | The oxidation states of all atoms in a neutral (uncharged) compound must add up to zero. | The sum of oxidation states in H₂SO₄ = 0. |
| 4 | The oxidation states of all atoms in a polyatomic ion must add up to the charge on the ion. | In SO₄²⁻, the sum of oxidation states = −2. |
| 5 | The usual oxidation state for an element in a compound is the same as the charge on its most common ion. | In compounds: – Group 1 metals are +1 – Group 2 metals are +2 |
| 6 | Fluorine always has an oxidation state of −1 in all its compounds because it is the most electronegative element. | — |
| 7 | Oxygen has an oxidation state of −2, except: – In peroxides (H₂O₂), where it is −1 – When bonded to fluorine (OF₂), where it is +2. | Oxidation number of O: −1 in H₂O₂ +2 in OF₂ |
| 8 | Chlorine has an oxidation state of −1, except when bonded to the more electronegative fluorine or oxygen. | Oxidation number of Cl: +1 in ClF +1 in OCl₂ +7 in ClO₄⁻ |
| 9 | Hydrogen has an oxidation state of +1, except when bonded to group 1 or 2 metals, where it forms ionic hydrides with −1 oxidation state. | Oxidation number of H: −1 in NaH and MgH₂ |
| 10 | (AHL) The oxidation state of a transition metal in a complex ion can be determined from the charge on the ligands. | (AHL) Common ligands include: H₂O, NH₃, Cl⁻, CN⁻, OH⁻ |
Why is the Oxidation State of an Element Zero?
An element in its free, uncombined state (e.g., O₂, N₂, Fe) has an oxidation state of zero because:
- It is not bonded to a different element
- no loss or gain of electrons.
- The number of protons and electrons is balanced
- net charge.
- No electronegativity difference
- prevents electron transfer
Part 2: Assigning Oxidation States
Using algebra…
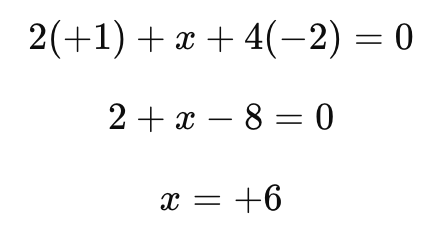
Worked example 1: Assign the oxidation states of all atoms in sulfuric acid
Solution:
H₂SO₄ (Sulfuric Acid)
- Hydrogen (H): Usually +1
- Oxygen (O): Usually −2
- Sulfur (S): Unknown (let’s assign it as x)
Using the rule that the sum of oxidation states in a neutral compound must be 0:

Therefore, the oxidation state of S in H2SO4 is +6
[For AHL]
Worked example 2: Assign the oxidation states of all atoms in [Fe(CN)6]4-
Solution:
- Cyanide is a ligand with formula CN–
- The oxidation state of N is -3 because it is in group 15 that can receive 3 additional electrons
- The oxidation state of C will be +2
- The entire complex ion [Fe(CN)₆]⁴⁻, which has a charge of -4.

Therefore the oxidation states of all atoms in [Fe(CN)6]4- are:
- The oxidation state of Fe is +2.
- The oxidation state of C in CN⁻ is +2.
- The oxidation state of N in CN⁻ is -3.
Part 3: IUPAC Naming System
The systematic naming of compounds uses oxidation numbers to provide clearer and more unambiguous names. For example, sulfur can have different oxidation states in various compounds, as seen in sulfuric acid (H₂SO₄) and sulfurous acid (H₂SO₃). While traditional names are acceptable, IUPAC introduced a nomenclature that includes Roman numerals to represent oxidation states, placed in parentheses after the element name. In this system:
- H₂SO₄ is named sulfuric(VI) acid, with the sulfate(VI) ion (SO₄²⁻)
- H₂SO₃ is named sulfuric(IV) acid, with the sulfate(IV) ion (SO₃²⁻)
This method makes the compound names more recognisable and precise.
Example
Deduce the names of the following compounds using oxidation numbers. (a) N2O5 (b) NO2 and (c) HNO2 using IUPAC system

Exercise
Subscribe to see the answers
Q1 Assign the oxidation states of (a) S in SO32- and (b) [AHL only] Fe in [FeCl4]–






![ESS 8.3.4 [AHL] Photochemical Smogs and Tropospheric Ozone](https://mypytrclass.com/wp-content/uploads/2025/12/image-1.png?w=1024)